<< 1.4 Conditional Probability and Independence | 1.6 Discrete Random Variables >>
Definition 1.5.1: Random variable
Let
- : Sample space
- : Function
If assigns each element one and only one number
Then we say is a random variable
Link to original
Definition 1.5.2: Cumulative distribution function (cdf)
Definition
Let : Random variable
If
Then we say is the cumulative distribution function (cdf) of .
Remark
We often shorten
Link to original
- to
- “Cumulative distribution function” to “distribution function” or “cdf”
Definition: Equal in distribution
Let : two random variables
If
Then
- We say and are equal in distribution
- We write
Theorem 1.5.1
Let
- : Random variable
- : cdf of
Then
- ( is nondecreasing)
- (lower limit of is 0)
- (upper limit of is 1)
- (F is right continuous)
Theorem 1.5.2
Let
- : Random variable
- : cdf of
Then
Theorem 1.5.3
For any random variable,
Remark 1.5.1
The subscript on and identifies the pmf and pdf, respectively, with the random variable.
If the identity of the random variable is clear, we often suppress the subscripts.
Exercise
Example: Random variable representing sum of 2 dice rolls
Let be a random variable which represents the sum of rolls from 2 dices. So, , where and are rolls from 1st and 2nd dice respectively. In this case, has value space , and range .
Example: pmf of discrete random variable
Let represent sum of rolls of 2 dices. So . of is . The pmf of is

Example: pdf of continuous random variable
Choose a real number at random from the interval . It is reasonable to assign .
Let be the number chosen. of is
Probability that or is
1.6.1.

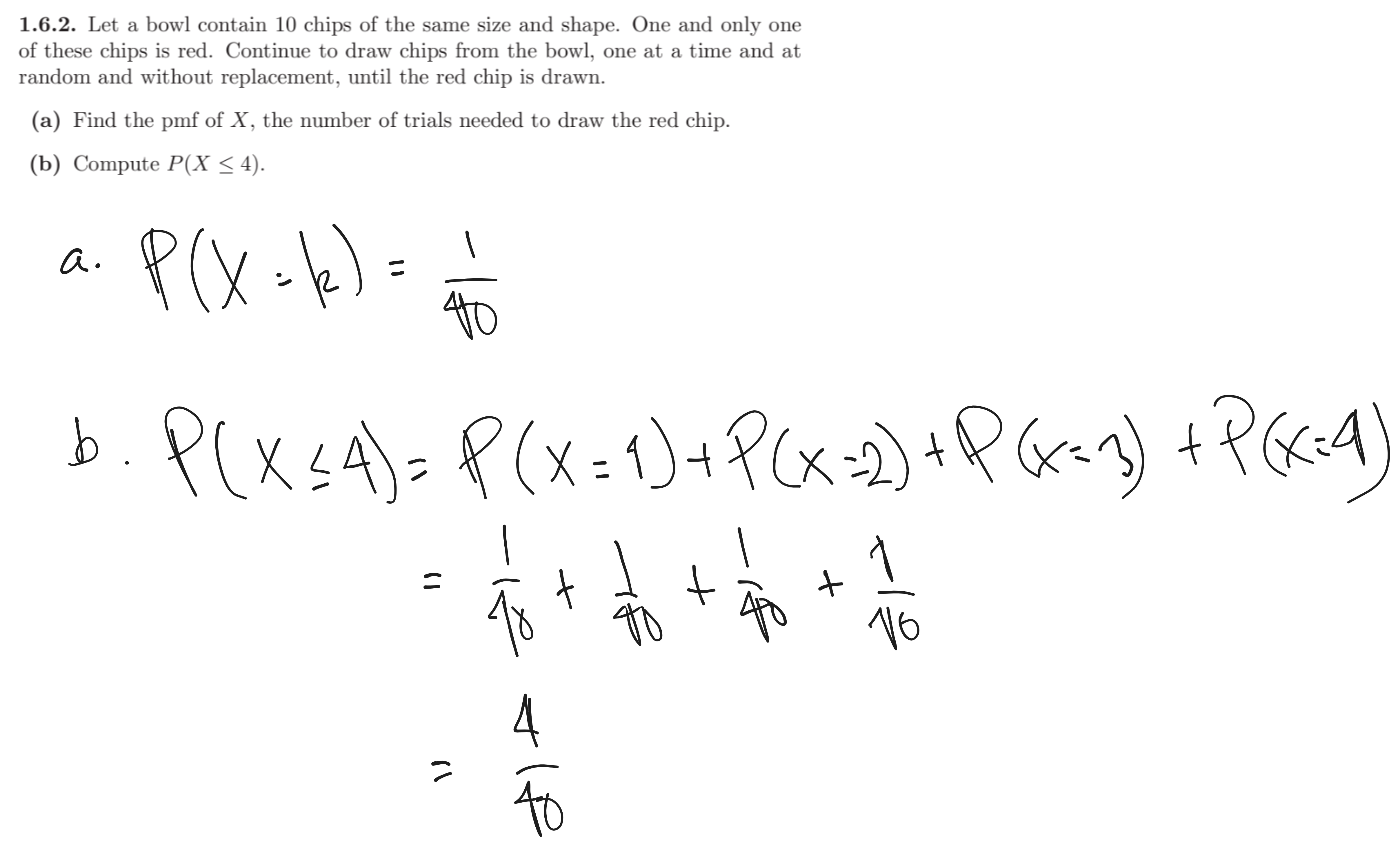
1.6.2.

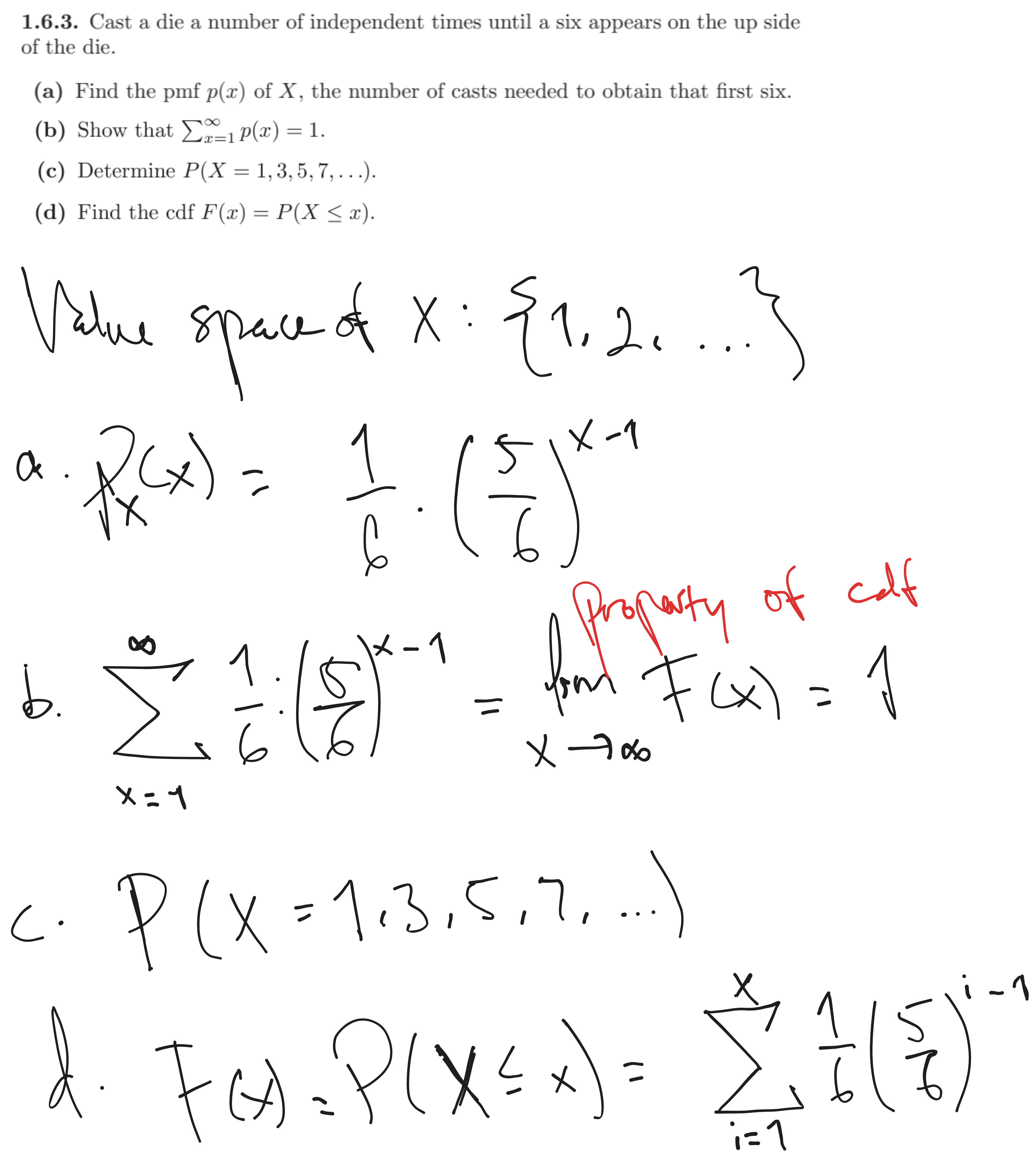
1.6.3.

1.6.4.
